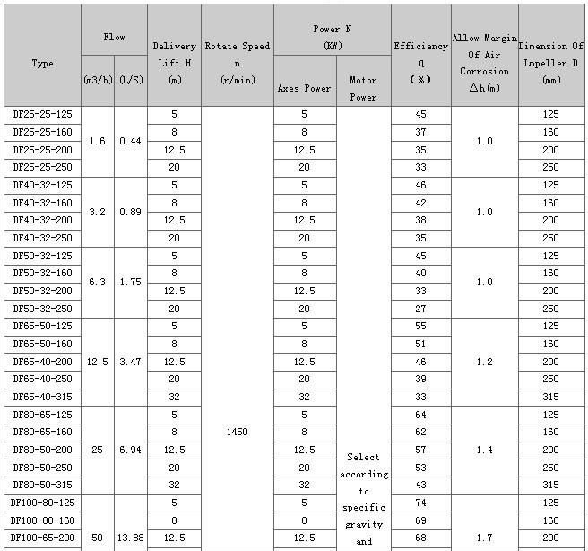
Capcity:1.6m3/h-400m3/h
head:5-125m
Motor Power:Select according to specific gravity and visccsity of the liquid
Temperature: between 0-150degree
Working pressure:under 2.4MPa
Shaft Power:5-50KW
Summary
DF series starch pump that our company dedicated is according to the characteristics of the production process for starch.
It's through the development of relevant scientific research departments and experts made of horizontal, single-stage and single-suction centrifugal pump, suitable for starch industry, is an ideal professional equipment, completely solve the vulnerability of the general centrifugal pump seals, spare parts and short life. its dimension and capability accord with ISO2858 standard.
Design features
The pump is completely according to the starch industry delivered article, working conditions, work requirements etc. it uses open impeller, flow channel width, no-easy to plug and generate pressure, it is good sealing effect, long life. The sealing is mechanical seal (special mechanical seal), and is equipped with water-cooled devices, three imported bearings. It has seal parts, suspension components designed to scientific, rational, innovative, so that the pump running smoothly, low noise and high efficiency.
The material of parts of pump is 1Cr18Ni9Ti, 304, 316, 316L, CD4MCu etc. The costume can select according to themselves' requirements.
Type descriptions
DF50-32-200A
DF Symbol Of Starch Pump
50 Dimension Of Inlet
32 Dimension Of Outlet
200 Nominal Oimension Of Impeller
A Incise Order For Impeller
You can select products from the following table




China