LW500A Industrial oil clarification decanter centrifuge for citric acid
Main feature:
- two motor, two frequency inverter drive system, realize differential speed stepless regulation and energy return.
- spiral stoker blades: Surfacing welding tungsten carbide grinding.
- drum cone cylinder material outlet: Replaceable wear resistant, corrosion resistant ceramic alloy bushing.
- main bearing: Sweden NSK
- main sealing parts: Taiwan SOG, material is Nitrile butadiene rubber
- electrical protection: overload, phase loss, torque protection
- Main and vice inverter use common DC bus, vice motor’s function is generating electricity ( save electricity)
- PLC remote control.
Structures and properties:
This machine is horizontal spiral discharging settling centrifuge, the main machine has a column-cone bowl, spiral stoker, differential system, bearing seat, base, cover, main motor,vice motor, and electric control chamber. With the high speed rotating of bowl, form strong centrifugal force, making the sludge dehydrate continuously in 24 hours a day.
The main motor through the triangle belt make the bowl rotating, through the planetary gear differential, make the vice motor and spiral differential speed different, realize sludge dewatering and pushing material function, That means differential rotating speed control and torque control. because containing solid rate of sludge may have wave motion, by differential speed control system is the guarantee for speed stability, achieve solid content in sludge is constant, the constant torque control make decanter load in a stable state, the separation effect and flocculation is the best state, so as to ensure the safe operation of the centrifuge.
This machine has good seal performance (guarantee without material leak in the process of operation), sludge dewatering work in full seal state, makes the environment clean.
This machine adopts the most advanced international special structural design, especially the spiral stoker, make the sludge concentration dehydration integration characteristics. It has better performance than ordinary centrifuge, more high capacity, better separation effect, save energy and manual work.
Working principle:

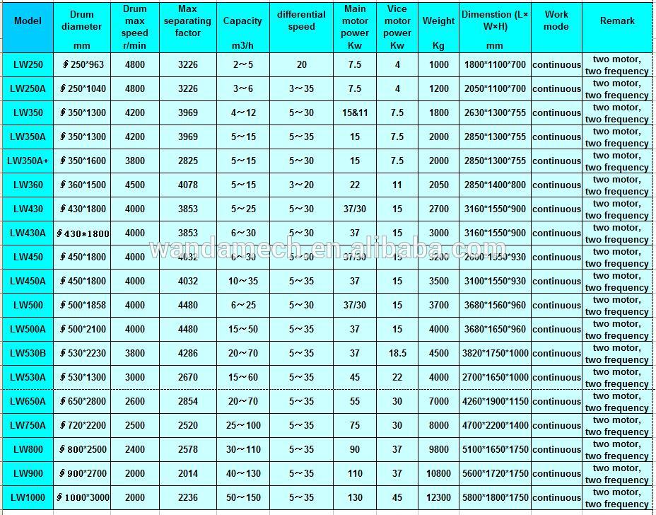
Product technical parameter:

Product application:
It is widely used in the production of chemical , printing, metallurgical coal mine, oil production, metallurgy ,iron and steel, fabric ,food, drink, pharmacy starch, dyes and so on,
and it can also solve industrial and municipal wastewater. By use it, solid can be dehydrated, liquid can be clarified.

Product picture:








1.We will provide one-year warrantee to make sure your machine runs consistently. We always keep certain inventory level of spare parts, which means the replacements can be shipped to you right away.
2. Consultant services for whole machine life, 24 hours technical support by email and telephone.
3.Send technicians to the jobsite for guiding the installation and adjustment, training operators and finishing the check and accept together with you.

LIAOYANG WANDA MACHINERY CO.,LTD is specialized in design, development, manufacture and sale of pharmaceutical, chemical and packaging machinery.Our products include filter, centrifuge, mixer, tablet press machine, granulator, dryer, packing machine, teabag packing machine, etc. Looking to the future with a commitment to design innovation and quality products, supported by an outstanding level of customer service. The unexcelled quality medical machinery can be easily obtained from us because we maintain the quality and standard of our products from incoming raw materials to the finished products. Our company follows strict quality controls and various systematic procedures. We take utmost care of quality at every stage of the manufacturing process. Our research and development wing is our asset that develops and incorporates innovative ideas and products. Our Team is full of experienced and qualified professionals, who have sound knowledge about the quality of our medical machinery. Our products are far sold to Europe, U.S.A., and the southeast Asia. They are well received by customers both at home and abroad.
Other feature products:

Contact us:

China