Hydrocyclone/Hydrocyclone Separator/ Hydro Cyclone Cluster/ Mineral Hydro-Cyclone
Advantages of hydrocyclone
1.Simple structure; light and nimble; no moving part
2.Low maintenance charge; easy to attach and detach; save floor space; low construction expense
3.Large processing capacity
4.The classification particle size can reach 10μm
Feature of hydrocyclone
1 .The 3-dimension snail-shaped feeding structure makes it possible to feed minerals in circumferential and axial directions. This design can tremendously improve classification efficiency in three ways------first of all, after entering the hydraulic cyclone, minerals avert from being disturbed by turbulent flows occurring near overflow pipes; secondly, the speed of coarse ore cyclone is accelerated towards underflow outlet; thirdly, minerals avoid swift rotating.
2 .The square pipe-type feeding model enables ores to get closer to the inner wall of hydraulic cyclone, which contributes to the lightest abrasion of feeding ores and the strongest divergent forces of ores. Consequently, abrasion of feeding box is reduced to the lowest level.
3. The unique adjustment device of wedge-shaped feeding opening can quickly adjust the feeding size, so classification efficiency is hugely raised.

4 .The wedge-shaped adjusting valve constitutes a replaceable part for the inlet pipe, so there is no need to change the whole liner of hydraulic cyclone.
5 .The premium abrasion performance of liner made from Xinhai abrasion-resistant rubber can considerably reduce using cost, and maintain the inner dimension and shape of hydraulic cyclone, so the stable classification efficiency is achievable.
6. Our company can also provide molding abrasion-resistant rubber liner and cold bonding abrasion-resistant rubber liner, the service life of which is extraordinarily long.
7 .The appropriative software helps to choose the right mode accurately and quickly.
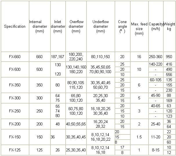
Specification of hydrocyclone
1.Easy mounting and dismantling.
2.convenient maintenace.
3.Small floor space required.
4.Low capital expenditure.
5.Large processing capacity of unit volume.
6.Fine classifying grain size,
7.High classifying efficiency.
Structure drawing of hydrocyclone

hydrocyclone in our workshop


Our hydrocyclone used in one mine site!


Welcome to visit our factory in your free time







China