Manual Plate And Frame Filter Press, Low Price Small Filter Press

Introduction of Manual Plate And Frame Filter Press, Small Filter Press:
Manual plate and frame filter press/small filter press is widely applied to many industries,such as laboratory test, chemical industry, food industry, medicine industry etc.
Manual plate and frame filter press/small filter press has the features of manual operation, simple and easy to use, energy saving, low running cost.
Features of Manual Plate And Frame Filter Press, Small Filter Press:
1, Manual operation, simple and easy to use, energy saving, low running cost.
2, The main material of manual plate and frame filter press/small filter press frame is carbon steel:Q235, beams with rectangular tube seamless welding, special frame deformation, strong and durable.
3, Filter plates of manual plate and frame filter press/small filter press is made of pure PP, do not contain other filler, not recycled material, high strength, light weight, corrosion resistance, acid and alkali, non-toxic and tasteless.
4, Various kinds of manual plate and frame filter press/small filter press filter cloth which suit for different kinds of material, improving the filtering accuracy.
5, Special faucet of plate and frame filter press/small filter press is made of polypropylene, strong and durable, high temperature resistance, strong acid and alkaline.
Applications of Manual Plate And Frame Filter Press, Small Filter Press:
1, Chemical industry:
Coating, paint, silica, caustic soda, soda ash, alkali, salt mud (aluminum, aluminum polymerization acetylacetonate, gypsum, insurance, phosphor) etc.
2, Food industry:
Vegetable oil, starch sugar, plant sweet, maltose, starch, maize, seaweed, kara glue, oral liquid, beer yeast, rice wine, white wine, fruit juice, beverage, plant protein etc.
3, Pharmacy industry:
Phytic acid, calcium, Chinese traditional medicine, saccharification, growth hormone, organophosphate etc.
4, Other solid liquid separation industries

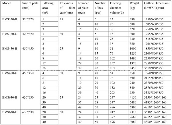
Technical parameter of Manual Plate And Frame Filter Press, Small Filter Press:

STANDARD PACKING & TIMELY DELIVERY OF FILTER PRESS, Small Filter Press:

OUR SERVICE:
1, Pre-sale services:
We will happily assist you in getting the information you need to make a decision on which products best fit your needs.We want you to feel good about your purchase.
We can design and manufacture products as per your special requirements.If required, we can train your technical personnel for you.
2, Services during the sale:
We strictly adhere to the principle of "the customer first".Your needs and concerns will be addressed to your complete satisfaction.
We can help clients to draft solutions to their specific situations.
3, After-sale services:
Our products are all guaranteed for a full year. During this period, if there is any quality problem, we repair it free of charge.
If there is any problem, we will take measures to solve it immediately,on-site.technical exchanging is also provided for you.
FAQ:
1, What products can you produce?
Manual filter press machine, chamber filter press machine, membrane filter press machine, plate and frame filter press machine, belt filter press machine,vacuum belt filter, high pressure filter press machine, cast iron filter press machine, stainless steel filter machine, filter plate and filter cloth etc.
2, What's your MOQ?
We will indicate the MOQ for each item in the quotation list, generally the MOQ is 1set.
3, What is the payment terms?
TT and L/C are acceptable and TT will be more appreciated.
30% advance payment by T/T, 70% to be paid before delivery of goods by T/T.
4, Do you accept OEM?
Yes, we can manufacture according to your requirement.
5, What is the machine warranty?
All the machines from my factory have 1 year warranty.
6, Is on site installation & commissioning available?
Yes.
7, Can I visit you?
Sure, of course, welcome to visit our factory at any time!
Send Message or Chat Now to Get Details !!!
Tips: please tell me your material and capacity to become our quality clients which will have 2%-10% discount
Please tell me your demand information, so we can send you accurate quotation:
1, What's the raw materials you want to process?
2, What's the total processing capacity you want tons per hour?
3, What's the solid content in the raw material(%)?
4, Your email address or phone number
5, Other requirements.
You can contact me by the following ways also. we will be happy to serve you.
China