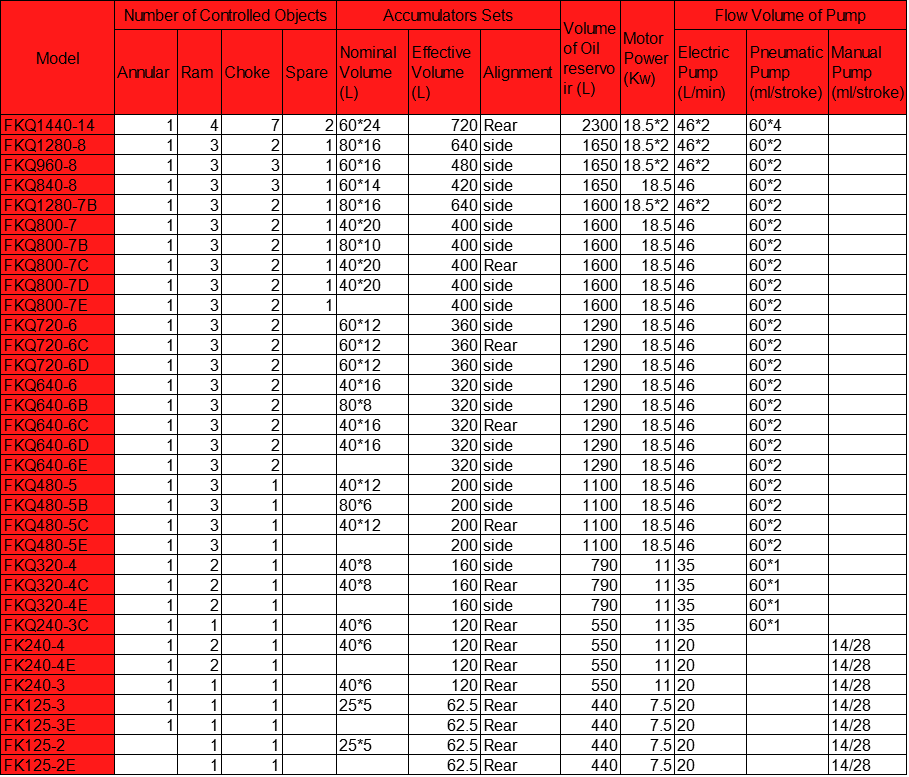
Control systems for surface mounted BOP Stacks
During drilling, BOP control system is used to control BOP or hydraulic flow out valve mainly. The system includes remote console, driller’s console, sub console,air tube, pipe rock,high pressure manifold, protection room, etc. It can control the well outblowing and overflowing, and realize killing the well speedily, etc. The BOP control system is designed and manufactured according to SY/T 5053.2 and API 16D standards
Main features
The remote console is equipped with both electric and pneumatic power supply.
The power supply is equipped with automatic control system and double protective device against overload.
With four sets of accumulators, the system can work regularly with the rest 75% volume in case that one of them is out of order
A relief valve is installed to increase the safety of system, which is easy for disassembly and maintenance; compact structure, reasonable configuration, easy to operate and clean mark



ALINA TIAN
Yantai Sanmon Machinery Equipments Co., Ltd.
Address: No.462, South Qingnian Road, Zhifu District, Yantai, 264000, China
Website: http://www.cnsanmon.com, Tel: +86 535 6652752, Fax: +86 535 6527199
Email: sales at cnsanmon.com, Mobile: + 86 18562259506
China